פנחס יחזקאלי: קיברנטיקה – תהליכי תקשורת במערכות מורכבות

תקציר: קיברנטיקה היא התחום שממנו התפתחו תורות המורכבות. זהו תחום במתמטיקה שימושית, העוסק בחקר תהליכי התקשורת, מערכות הבקרה ועקרונות המשוב בין מערכות מורכבות: בני אדם (או אורגניזמים אחרים), ארגונים ומכונות. המונח נטבע על ידי נורברט וינר, מאבות התחום, בספרו משנת 1948, קיברנטיקה (Cybernetics or Control and Communication in the Animal and the Machine)…

להמשך קריאה

קו אדום

  [בתצלום: "הקווים האדומים שלו", מאת רענן לוריא. צוירה לאחר מתקפת נשק כימי של המשטר הסורי, שחצתה את הקו האדום שקבע נשיא ארצות הברית, ברק אובמה; הצילום הועלה לויקיפדיה ע"י היוצר, רענן לוריא קובץ זה הוא בעל רישיון Creative Commons להפצה, תחת רישיון זהה, גרסה: CC BY-SA 3.0] קו אדום (Red Line) או קווים אדומים הוא מושג ביחסים בינלאומיים, … להמשך קריאה

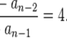
המקדם של פייגנבאום

בשנות ה- 70 של המאה העשרים, מצא המתמטיקאי פייגנבאום מקדם קבוע, המכונה כיום על שמו – "המקדם הראשון של פייגנבאום" ("Feigenbaum First Constant") (שערכו 4.669) ניתן לזהות את המקדם ביחס שבין היחסים הנמדדים בתהליכים או במערכות שונות. לדוגמה, בהשוואת היחס שבין משך הזמן שמגוון האפשרויות עובר משתי תוצאות אפשריות לארבע, או מארבע תוצאות אפשריות לשמונה, … להמשך קריאה

פנחס יחזקאלי: רב תרבותיות, קריסתה של אשליה

תקציר: רב-תרבותיות (Multiculturalism) היא אסטרטגיה של קליטת הגירה והכלת שסעים גזעיים בחברה, המשמשת בעשורים האחרונים כרעיון פרוגרסיבי מאחד בארצות הברית – על בעיות השסעים וההגירה שלה – באירופה ובמדינות מערביות נוספות כקנדה וכניו זילנד, המתמודדות עם עידן ההגירה הנוכחי. משך שנים טואטא הפער שבין הסיסמאות למציאות מתחת לשולחן. היום, מתרחב הפער בין חסידיה הפרוגרסיביים של הגישה הזו; … להמשך קריאה

פנחס יחזקאלי: הודאת שווא

[לאוסף המאמרים אודות הודאות שווא, הרשעות שווא והשלכותיהן, לחצו כאן] אין אדם משים עצמו רשע (האמנם?)… ניצב משנה בגמלאות, ד"ר פנחס יחזקאלי הוא שותף בחברת 'ייצור ידע' ואיש אקדמיה. שימש בעבר כראש המרכז למחקר אסטרטגי ולמדניות של צה"ל. הוא העורך הראשי של אתר זה. *  *  * הודאת שווא (False confession) היא תצהיר בו אדם מודה, … להמשך קריאה

פנחס יחזקאלי: פרוצדורה במקום מהות – כשהביורוקרטיה עולה על גדותיה…

תקציר: ב- 27 בדצמבר 2023, פרסם העיתונאי, עמית סגל, את הדלפת טיוטת פסק הדין בעניין ביטול סעיף הסבירות בחוק יסוד השפיטה. מה בער לבית המשפט לנפק, באמצע המלחמה – כשהאחדות הלאומית חשובה מכל – פסק דין מפלג שיתפס על ידי רבים כחסר אחריות ציבורית ויפגע במעמדו? זו הפרוצדורה טמבל! התופעה המכונה פרוצדורה במקום מהות או פרוצדורה לפני מהות (Procedure before essence) היא מאפיין קלאסי לתופעה המוכרת כשלטון הביורוקרטיה: אוליגרכיה ביורוקרטית משתלטת על מערכת ומושכת אותה לכיוונים, המנוגדים לאינטרסים שלה…

להמשך קריאה

פנחס יחזקאלי: זרז – קטליזטור: מה שמניע התארגנות עצמית

תקציר: התארגנות עצמית ניתנת להנעה באמצעות זרז (קטליזטור, Catalyst)– פנימי או חיצוני – בדומה לזרז המאיץ התחברות של אטומים למולקולות. דוגמה לזרז פנימי היא תושב שכונה המקיים פעילות אינטנסיבית למען שיפור איכות החיים בשכונתו, וסוחף אחריו את יתר התושבים; דוגמה לזרז חיצוני היא פעולות מסוימות שנוקטת העירייה, על מנת להביא את תושבי השכונה להתארגנות לפעולה בנוגע לאיכות החיים בשכונתם… [בעל הזכויות בתמונה זו לא … להמשך קריאה

פנחס יחזקאלי: יעד מהו?

[בתמונה: יעד מהו? בעל הזכויות בתמונה זו לא אותר. לכן, השימוש נעשה לפי סעיף 27א' לחוק זכויות יוצרים. בעל הזכויות הראשי, אנא פנה ל: yehezkeally@gmail.com] ניצב משנה בגמלאות, ד"ר פנחס יחזקאלי הוא שותף בחברת 'ייצור ידע' ואיש אקדמיה. שימש בעבר כראש המרכז למחקר אסטרטגי ולמדניות של צה"ל. הוא העורך הראשי של אתר זה. *  *  * … להמשך קריאה

אינטגרציה חיצונית

[תמונה חופשית שהועלתה על ידי The U.S. Army לאתר flickr] אינטגרציה חיצונית (External Integration) היא האופן שבו מערכת מורכבת (כמו למשל, ארגון) משולבת עם סביבתה. אין מערכת, אדם, משפחה, עסק או מדינה, שקיימים בחלל ריק: אנו מודדים את האינטגרציה חיצונית בעסק על ידי נתח שוק, שולי רווח, מכירות חוזרות, EVA, החזר על השקעה, הרווח למניה … להמשך קריאה

פנחס יחזקאלי: מינוף / מנוף השפעה. הדרך להשיג הרבה בפחות

תקציר: ב- 16 במרץ 2024 לימד אותנו הסנטור היהודי דמוקרטי, צ'אק שומר, 'מינוף' מהו, ואיים כי ארה"ב תשתמש במינוף שלה על ישראל כדי לאלץ אותה לשנות כיוון. מאמר זה מוקדש להבנת המושג הזה: מינוף (Leverage) או מנוף השפעה היכולת להשפיע על מערכת מורכבת במאמץ קטן יחסית, דרך השפעה על מספר קטן של גורמים שמשפיעים באמת. כיוון שרק מספר קטן של גורמים משפיע על מערכת מורכבת בזמן ובמקום נתונים, הפעלת מנוף השפעה על אחד או יותר מאותם גורמים בודדים, אמורה לעשות את ההבדל…

להמשך קריאה